67747-09-5+36734-19-7
Product name | Prochloraz10%+iprodione10%SC |
CAS No. | Prochloraz: [67747–09–5] iprodione: [36734–19–7] |
EC No. | Prochloraz: 266–994–5 iprodione: 253–178–9 |
Molecular formula | Prochloraz: C15H16Cl3N3O2 iprodione: C13H13Cl2N3O3 |
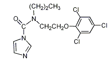
Structural formula | Prochloraz:
iprodione:
|
Introduction | Prochloraz: Fungicide with protective and eradicant action. iprodione: Contact fungicide with protective and curative action. Inhibits germination of spores and growth of fungal mycelium. |
Use | Prochloraz: A protectant and eradicant fungicide effective against a wide range of diseases affecting field crops, fruit, turf and vegetables. An EC is recommended for use in cereals (400–600 g a.i./ha) against Pseudocercosporella, Pyrenophora, Rhynchosporium and Septoria spp., with useful activity against Erysiphe spp.; in oilseed rape (500 g/ha) against Pyrenopeziza, Botrytis, Pyrenopeziza and sclerotinia spp. Useful activity is also shown against Ascochyta and Botrytis spp. in field legumes; and Cercospora and Erysiphe spp. in beet. Good activity against storage or transit diseases of citrus and tropical fruit when applied as a dip treatment (0.5–0.7 g/l). A WP is recommended in mushrooms against Verticillium fungicola and Mycogone perniciosa, and in rice against Pyricularia. A seed treatment (0.2–0.5 g/kg) will control several cereal diseases caused by Cochliobolus, Fusarium, Pyrenophora and Septoria spp., and, in flax, Pyrenopeziza. iprodione: Control of Botrytis, monilia, sclerotinia, Alternaria, Corticium, Fusarium, Tilletia, Pellicularia sasakii, Phoma, Rhizoctonia, Typhula spp., etc. Used mainly on sunflowers, cereals, fruit trees, berry fruit, oilseed rape, rice, cotton, vegetables and vines as a foliar spray, at 0.5–1.0 kg/ha, and on turf, at 3–12 kg/ha. Can also be used as a post-harvest dip, as a seed treatment, or as a dip or spray at planting. |
Method | spray |
Appearance | Off-white liquid |
Crop | Cereals,oilseed rape, sugar beet, grapes, tomatoes, pome fruit, cotton |
Package | 500ml,1L,20L,200L or according to customer's requirement |
Shelf life | 2 years |
Color | Off-white |
Product name | Prochloraz10%+iprodione10%SC |
CAS No. | Prochloraz: [67747–09–5] iprodione: [36734–19–7] |
EC No. | Prochloraz: 266–994–5 iprodione: 253–178–9 |
Molecular formula | Prochloraz: C15H16Cl3N3O2 iprodione: C13H13Cl2N3O3 |
Structural formula | Prochloraz:
iprodione:
|
Introduction | Prochloraz: Fungicide with protective and eradicant action. iprodione: Contact fungicide with protective and curative action. Inhibits germination of spores and growth of fungal mycelium. |
Use | Prochloraz: A protectant and eradicant fungicide effective against a wide range of diseases affecting field crops, fruit, turf and vegetables. An EC is recommended for use in cereals (400–600 g a.i./ha) against Pseudocercosporella, Pyrenophora, Rhynchosporium and Septoria spp., with useful activity against Erysiphe spp.; in oilseed rape (500 g/ha) against Pyrenopeziza, Botrytis, Pyrenopeziza and sclerotinia spp. Useful activity is also shown against Ascochyta and Botrytis spp. in field legumes; and Cercospora and Erysiphe spp. in beet. Good activity against storage or transit diseases of citrus and tropical fruit when applied as a dip treatment (0.5–0.7 g/l). A WP is recommended in mushrooms against Verticillium fungicola and Mycogone perniciosa, and in rice against Pyricularia. A seed treatment (0.2–0.5 g/kg) will control several cereal diseases caused by Cochliobolus, Fusarium, Pyrenophora and Septoria spp., and, in flax, Pyrenopeziza. iprodione: Control of Botrytis, monilia, sclerotinia, Alternaria, Corticium, Fusarium, Tilletia, Pellicularia sasakii, Phoma, Rhizoctonia, Typhula spp., etc. Used mainly on sunflowers, cereals, fruit trees, berry fruit, oilseed rape, rice, cotton, vegetables and vines as a foliar spray, at 0.5–1.0 kg/ha, and on turf, at 3–12 kg/ha. Can also be used as a post-harvest dip, as a seed treatment, or as a dip or spray at planting. |
Method | spray |
Appearance | Off-white liquid |
Crop | Cereals,oilseed rape, sugar beet, grapes, tomatoes, pome fruit, cotton |
Package | 500ml,1L,20L,200L or according to customer's requirement |
Shelf life | 2 years |
Color | Off-white |
Booth No. 72B15
Booth No.: 82K51
We have involved in the business field of agrochemicals like Herbicide,Insecticide ,Fungicide, Plant Growth Regulator,Intermediate and chemical in Asia, South America, East Europe.
We have involved in the business field of agrochemicals like Herbicide,Insecticide ,Fungicide, Plant Growth Regulator,Intermediate and chemical in Asia, South America, East Europe.